If you ask the nearest baby barista, or even neophyte home barista, what one of the most important factors in pulling a good shot of espresso is, they’ll tell you grind size. (They may say the grinder is the most important thing, but what they mean is that size and consistency of the grind is the thing and a grinder is the vehicle to achieving that.) It’s fairly common knowledge within most coffee circles and has been for decades. But science is starting to catch on, with a recent study finding, and you may want to sit down for this, that grind size plays a significant role in extracting espresso.
To be fair, the study, published recently in the journal Royal Society Open Science, never claims to be breaking any new ground and they are merely applying a rigorous scientific approach to what has long been established by baristas through trial and error. (Though you’d be forgiven for rolling your eyes every time a news outlet or science-focused pub like Phys.org touts it a new discovery that will lead to “the perfect espresso shot every time.” Whatever that even means.)
In the study, researchers seek to determine what factors impact permeability. Or put another way, how easy or difficult it is for water to pass through a coffee puck. For it, they try to “empirically determine the permeability as a function of porosity and specific surface area for beds of real coffee.” And with this their goal is to create a general model to predict how things like grind size and tamping impact permeability.
Using two different coffee roasted by Square Mile, a Tumba variety from Rwanda and a Guayacán from Colombia, the researchers created 22 samples, 11 each, grinding each coffee using the settings 1 through 11 on a Mahlkönig grinder. The samples were 3D mapped using X-ray computed micro-tomography to allow the researchers to see the otherwise unseeable pathways through which water could pass. With those 3D models they were able to run digital flow tests and used percolation theory to determine how the pours in the coffee grounds would connect to create pathways for the water to pass through.
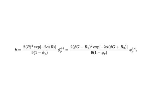
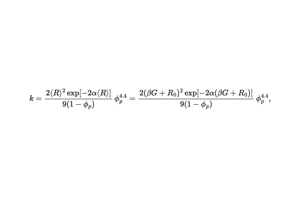
With this they were able to create an equation (seen above) predicting the permeability of a given coffee, nothing the strong connection between things like grind size and tamping to the overall permeability. With the equation “to compute both their coffee puck permeability and ultimately the mass flow rate via Darcy’s law,” baristas can “make some a priori choices of grind setting in order to reach a desired shot mass in a desired time.” It’s really just that simple.
Still there are other factors the equation would need to account for, including how permeability changes as the grounds get wet, thus swelling, and how pressure profiling may impact the result. And the study is primarily concerned with getting a shot of espresso to a certain dosage at a certain time without making any sort of qualitative flavor claims of the output. Which is to say, it’s utility as the end-all-be-all may be a touch overstated. And it’s hard to imagine the equation being adopted by baristas, especially when the process of knowing your machine and your coffee via the traditional dialing in process is already quicker and easier. Nonetheless the study offers an interesting scientific approach to understanding what is happening inside an espresso puck and could be the basis for future models offering an even deeper and more predictive knowledge of extraction.
Zac Cadwalader is the managing editor at Sprudge Media Network and a staff writer based in Dallas. Read more Zac Cadwalader on Sprudge.




